ch4_4.1에서 배운 선형모형(Linear model)은 실제로 쓰이는 모형이라기보단
이론적으로 쓰이는 모형이다. (실제로는 확률변수가 무한합으로 정의되지 않으므로)
그렇지만 선형모형을 배우고, 선형모형에서 나온 확률변수의 기대값, 분산, 공분산, 상관계수를 알게되면
이후에 배우는 시계열 모형들을 쉽게 배울 수 있다.
4.3절에서는 이동평균모형을 배우고 영어로 Moving Average Processes라고 한다.
이동평균모형을 줄여서 MA 모형이라고 한다.
이동평균모형으로부터 만들어진 확률변수들이 있을텐데 이 확률변수들의 집합 {Yt}를 이동평균 과정(Moving Average Processes)라고 한다.

모형을 잘보면, 선형과정과 달리 무한합으로 정의되지않음을 알 수 있다.
그러나 해당 모형은 주황색 박스에 해당하는 상수가 곱해져서 더해진 형태인점
t-q번째 백색잡음 이후의 백색잡음의 계수들을 다 0으로 생각해볼수 있다는점을 생각해보면,
해당 모형에서 선형모형을 엿볼 수 있음을 알 수 있다.
즉 이동평균과정은 선형과정의 일부이다.
위와 같이 정의된 확률과정을 차수가 q인 moving average process라고 하고 다음과 같이 표현된다

앞서 선형과정이 정의되기 위해서 그리고 선형과정이 정상성을 가지기 위해선
선형모형에서 계수들의 절댓값의 합이 유한해야한다고 배웠다.
이동평균과정도 선형과정의 일부이므로 이를 확인해봐야한다.

이미 계수들의 합이 유한합으로 표현되기 때문에 자연스럽게 유한함이 성립됨을 알 수 있다.
계수들의 절댓값의 합이 유한하고 이동평균과정은 선형과정의 일부이므로
이동평균과정은 당연히 정상과정이다!
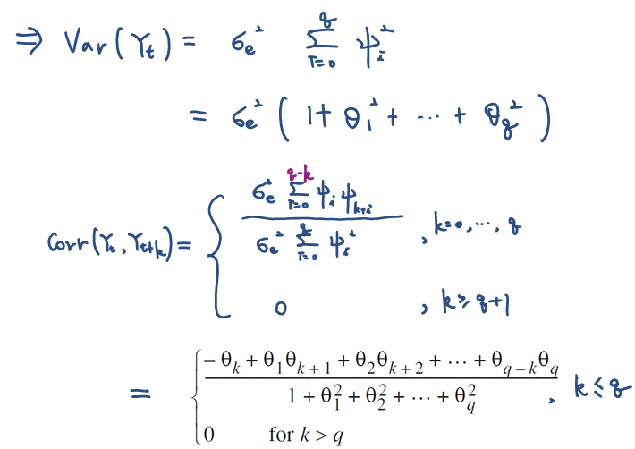
이제 이동평균과정의 평균, 공분산, 상관계수를 구하면 다음과 같다.


따라서 MA(q) 모형의 특징은 시차가 0부터 q까지는 확률변수들 즉 값들간의 상관계수의 값이 나타나지만
시차가 q+1이후를 넘어가는 순간 상관계수가 0이 되버림을 알 수 있다.
즉 q+1 이후 시차에선 두 확률변수간 선형상관관계가 나타나지 않음을 알 수 있다.
이제 기대값, 공분산, 상관계수를 구해보았으니
MA(q) 모형의 ACF를 그려볼 수 있다.

q까지만 상관계수의 값을 가지며 그 이후는 0임을 확인해 볼 수 있다.
이때 잠깐 ch4, 4.1의 예제 문제인 계수가 Φ^i인 선형모형과 비교해보자

두 모형에서 만들어진 Yt 는 모두 평균이 0이고, 분산이 일정하다.
여기까지만 보았을땐 두 모형이 같아보이는데, 핵심은 '종속성을 나타내는 지표인 ACF'는 다르다는 점이다.
각 모형이 만들어낸 Yt의 상관계수를 시차에 따라 그려낸 ACF를 나타내면 다음과 같다.

따라서 데이터분석을 하게 될때, Sample ACF를 만들수 있는데
Sample ACF와 , 우리가 맞추고싶은 모델의 이론적인 ACF(ex. 위의 두 그림) 을 비교해보고
무엇과 유사한지 확인해보고, 특정 모델의 ACF와 Sample ACF가 유사하다면 그 모형을 잠정적인 모형으로 선택할 수 있다.
이런 방식으로 데이터의 종속관계를 반영하는 모델을 선택할 수 있다.
그다음으로 ACF의 의미를 다시 생각해보자.
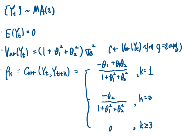
ACF의 의미를 생각해보기 위해 예제로 MA(2) 모형을 생각해보기로 한다.
MA(q) 의 이론적으로 도출된 기대값, 상관계수식에 따라서 {Yt} ~MA(2)에서 Yt의 기대값, 분산, 상관계수를 다음과 같이 쓸수 있다.

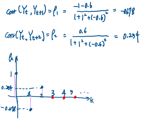
이 상황에서 θ1 = 1, θ2 = -0.6이라고 하자 .
그런경우,

그리고, 만일 어떤 데이터가 주어진 상황이라고 가정해보자.
그리고 그 데이터의 시차간의 산점도를 다음과 같이 그렸다.


이 그림을 보고 시차가 1인경우 음의 선형관계가 있음을 유추해볼수 있고,
시차가 2인경우 양의 선형관계가 있음을 유추할수 있지만 시차가 1인경우보다 선형관계의 세기가 조금
덜하다는 것을 생각해볼 수 있다.
그리고 시차가 3이상인 경우 선형관계가 나타나고 있는것 같지 않음을 유추해볼수 있다.
이를 통해서 앞서 이론적으로 구한 MA(2) 모형의 ACF와 유사한것 같다는 생각이 들면
ma(2) 모형을 잠정적으로 선택해 볼 수 있다.
'시계열자료분석' 카테고리의 다른 글
| 시계열_ch4 The General Linear Process Version of the AR(1) model (0) | 2025.11.09 |
|---|---|
| 시계열_ch4_4.3 Autoregressive Processes (1) | 2025.10.11 |
| 시계열_ch4_4.1 General Linear Processes (1) | 2025.10.09 |
| 시계열_ch2_2.3(Stationarity) (0) | 2025.10.08 |
| 시계열_ch2_2.1 , 2.2 (0) | 2025.10.07 |