6.1 전확률의 정리
전확률의 정리

A는 다음과 같은 사상임

해석)
Bk부분들과 겹치는 A사상의 확률은
B1안에서의 A의 확률, B2안에서의 A의 확률, ..., BK안에서의 A의 확률 과 같이 부분을 알고 있을때,
A전체의 확률을 구하는 법은, B1안에서의 A의 확률 + B2안에서의 A의 확률 + .... + BK안에서의 A의 확률 처럼
부분들을 모두 더하는 방법으로 구한다.
증명)

예) 어느 대학 졸업생 취업상태 조사

취업생 중 36명, 미취업생 중 12명이 한 취업동아리의 회원이었다면, 임의로 선택된 사람이
그 취업동아리 회원일 사상 A의 확률을 구하라.
풀이)

6.2 베이즈 정리
베이즈 정리

식 해석)
전확률의 정리에 따르면, P(A)는 각각 Bi에 속하는 A의 확률들의 합으로 나타냈다.
이 점을 이용해 식을 변형하면 됨

예) 대통령을 선출하는 선거에서 , 갑, 을 , 병 세 사람이 출마하였다고 하자.
갑이 당선될 확률은 0.3, 을이 당선될 확률은 0.5, 병이 당선될 확률은 0.2 라고 하고,
갑이 당선되었을 때 세금을 올릴 확률이 0.8, 을은 0.1, 병은 0.4라고 한다.
먼저 선거가 끝난 후 세금이 오를 확률을 구해보자
우선 구하고자하는 사상을 정의해보자
세금이 오를 사상을 A라 하자.
그리고 갑,을,병이 당선될 사상을 B1, B2, B3라고 하자 ( 각각은 서로 배반사상이므로,
B1,B2,B3의 합은 표본공간(S)이므로 사상 B1,B2,B3는 표본공간 S의 분할인 상황이다. 따라서
전확률의 정리와 베이즈 정리를 이용할 수 있다.)
A는 전확률 정리에 의해 , B1,B2,B3에 속하는 A의 확률들의 합을 뜻하므로,
식으로 A의 확률을 나타낸다면,

이번에는 선거가 끝난 후 세금이 올랐다면, 갑이 당선되었을 확률을 얼마인가?
이 문제에서 베이즈 정리는 어떤 식으로 유용하게 쓰이는 지를 엿볼 수 있다.
앞서 세금이 오를 확률을 구했다면, 이번에는 거꾸로, 조건의 순서를 바꾸어서,
세금이 올랐다는 정보를 알게되었을때, 갑이 당선되었을 확률을 구하는 것이 베이즈 정리이다.
문제를 식으로 표현하면,
P(B1|A)로 나타낼 수 있다. 앞서 P(A)를 구하기 위해서 P(A|B1) , P(A|B2), P(A|B3)을 구했어야 했다면,
이번에는 거꾸로 P(B1|A)를 구해야한다 이때 베이즈 정리를 이용하면 된다.
P(B1|A) 구하는 풀이)

예) 몬티 홀 문제
미국의 TV 게임 쇼 《Let's Make a Deal》에서 유래한 퍼즐이다. 퍼즐의 이름은 이 게임 쇼 의 진행자 몬티 홀(Monty Hall : Monte Halperin)의 이름에서 따온 것이다. 세 개의 문 중에 하나를 선택하여 문 뒤에 있는 선물을 가질 수 있는 게임쇼에 참가했다. 한 문 뒤에는 자동차가 있고, 나머지 두 문 뒤에는 염소가 있다. 이때 참가자가 하나의 문을 선택했을 때, 게임쇼 진행자는 다른 하나의 문을 열어 문뒤에 염소가 있음을 보여주면서 나머지 문으로 선 택을 바꾸겠냐고 물었다. 이때 원래 선택했던 번호를 바꾸는 것이 유리할까? 이때 진행자는 자동차와 염소가 어떤 문에 있는지 알고 있기 때문에, 진행자가 자동차가 있는 문 을 여는 일은 발생하지 않는다.

참가자가 문을 바꾸는 경우 문을 바꾸지 않는 경우 두 가지 경우로 나누어보자
문을 바꾸지 않는 경우)
문을 바꾸지않는다고면, 참가자는 선택했던 A문의 포지션을 그대로 유지한다.
따라서 주목해야할 확률은
문 B를 열어주었을 때, 문 A 뒤에 자동차가 있을 확률이다.
참가자는 A를 선택했고 바꾸지 않는다는 결정을 했기 때문에 , A뒤에 자동차가 있었으면 하는 바램이 있을 것이다.
식으로 표현하면 , P(A|BO) 이다.
풀이)

하나씩 파헤쳐보자
P(BO)는 B가 열리는 사상의 확률이다. 그 전에 3개문에서 참가자가 A문을 선택했으므로, 참가자가 선택한 문을 제외한
문을 진행자가 열어야한다 따라서 진행자가 열 수 있는 문은 2개이다.
따라서 1/2임(진행자가 C도 열수 있고 , B도 열수있다)
P(A)는 A문 뒤에 자동차가 있을 확률이다. 자동차는 3개의 문 중 어디에도 있을 수 있으므로, 1/3이다.
P(BO|A) 는 A문 뒤에 자동차가 있다는 정보하에, 사회자가 B문을 여는 확률이다. C도 열수 있고 B도 열수 있으므로 1/2이다.
따라서 값은 1/3이 나온다.
문을 바꾸는 경우)
문을 바꾼다고 하면, 참가자는 선택했던 A문 대신 C문을 택하는 포지션으로 변경한다.
따라서 주목해야할 확률은
문 B를 열어주었을때, 문 C 뒤에 자동차가 있을 확률이다.
참가자는 A를 선택했지만 선택을 바꾸었고 하나밖에 남지않는 문인 C문을 택했다.
따라서 C 뒤에 자동차가 있었으면 하는 바램이 있을 것이다.
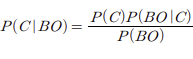
식으로 표현하면 , P(C|BO) 이다.

진행자는 참가자가 선택한 과거에 택했던, A문을 제외하고 다른 문을 열어야한다.
B문, C문 둘중에 하나를 열면 되므로, P(BO)는 1/2이다.
P(C)는 다른 정보가 없을때, C뒤에 자동차가 있을 확률이다.
A,B,C 중 C뒤에 자동차가 있어야하므로 1/3이다.
C뒤에 자동차가 있다는 정보가 있을때, 진행자가 문을 여는 확률은,
상황을 생각해보면, 참가자가 바꾸기 찬스를 쓰기 전에 A문을 택했다.
따라서 진행자는 A문을 제외하고 C 문과 B문중에 하나를 골라야하는데
포인트는 C문을 고를 수 없다는 점이다 왜냐하면 P(BO|C)는 C뒤에 자동차가 있다는 정보를 안다는 전제하에 진행자가
문을 여는 확률이므로, 진행자는 C뒤에 자동차가 있다는 정보를 안다.
진행자는 퀴즈를 진행할때, 염소의 문을 열어야하므로 자연스럽게 B에 염소의 문이 있다는 사실을 안다.
따라서 무조건 B문을 열어야 하므로 확률은 1이다 .
따라서 P(C|BO)를 계산하면 2/3이 나온다.
문을 바꾼 경우와 문을 바꾸지 않는 경우에서 주목해야할 확률을 비교해보니,
진행자가 문을 열었을 경우, C문뒤에 자동차가 있는 확률(2/3)이
진행자가 문을 열었을 경우, A문뒤에 자동차가 있는 확률(1/3)보다 크다
따라서 참가자는 A문에서 C문으로 바꾸는 선택을 했을때, 즉 문을 바꾸는 행동을 취했을 때
상품을 얻을 확률이 더 높다.
왜 그럴까? 이유는 사회자가 정보를 알고 있기 떄문에,
이것이, 참가자가 선택을 바꾸는 행동을 취할 경우와 취하지 않을 경우에 자동차를 얻을 확률이 달라진 것이다.
풀이)
'수리통계학1' 카테고리의 다른 글
| 8강 결합 확률분포 (0) | 2024.06.28 |
|---|---|
| 7강. 확률변수, 이산형 확률분포 , 연속형 확률분포 (0) | 2024.06.28 |
| 5강. 조건부 확률, 승법정리 (0) | 2024.06.27 |
| 4강. 사상의 확률, 가법정리 (0) | 2024.06.25 |
| 3강. 표본공간, 사상, 경우의 수 (0) | 2024.06.25 |