3강에서 표본공간과 사상, 경우의 수에 대해서 배울 것이다.
3.1 표본공간

여기 상자가 있다.
이 상자를 열었을때 무엇이 나오는가?에 대해서 생각해보면,
아무런 정보가 없다고 생각했을 때 정확히 하나를 꼭 집어서 무언가 나올 것이다라고 생각하기는 어려울 것이다.
그래서 하나를 예측하는 것보다 무엇,무엇이 나올것이다~라는 범위를 가지고
상자 안에 들어있는 게 무엇인가?에 대해서 생각하는 것이 더 쉬울 것이다.
이때 등장하는 개념이 표본공간이다.
표본공간이란 가능한 모든 결과를 모아둔 것을 말한다.
(표본공간(sample space): 통계적 실험에서 발생가능한 모든 결과들의 집합)
표본점(sample point): 표본공간의 원소
추가적인 사실은 동일한 시행임에도 불구하고, 관점에 따라서 표본공간이 다를 수 있다는 점이다.
예를 들어서 한 개의 주사위를 던지는 실험에서 윗면에 나타난 숫자에 관심을 가지면 표본공간은 다음과 같다.

그러나 한 개의 주사위를 던지는 실험에서 윗면에 나타난 숫자가 짝수인지 홀수인지에 관심을 가지면 표본공간은 이렇다.

3.2 사상
앞서 표본공간에 대해 배웠다.

만약 이 상자를 열었을 때 나올 수 있는 경품이
연필, 지우개, 노트북, 휴대폰, 휴대용충전기, 영화무료티켓이 있다고 해보자
그렇다면 표본공간은 S={ 연필, 지우개, 노트북, 휴대폰, 휴대용충전기, 영화무료티켓} 이다.
여기서 A라는 사람이 휴대폰이 나올 경우에만 관심이 있는 경우 혹은
휴대폰, 영화무료티켓이 나올 경우에만 관심이 있는 경우, '사상'의 개념과 연관지어 생각해볼 수 있다.
이런 표본공간에서 특정한 한 개 혹은 부분이 발생하는 것에 관심이 있을때 그것을 사상으로 표현한다.
사상(event) : 표본공간의 부분집합
(사상은 사건이랑 비슷하다고 보면 됨)
예를 들어 주사위를 한번 던지는 경우, 표본공간은 {1,2,3,4,5,6}이라고 했다.
여기서 주사위의 눈이 4가 나오는 사상은 {4} 이다.
공집합과 표본공간 자체도 표본공간의 부분집합이 되어 사상이 된다.
단순사상: 표본점 하나로 이루어진 사상을 말한다 (EX. 주사위의 눈이 4가 나오는 사상: {4})
복합사상: 여러개의 표본점으로 이루어진 사상을 말한다 (EX. 주사위의 눈이 홀수인 사상:{1,3,5} )
· 여러가지 사상

3.3 경우의 수
이제 표본공간에서 원소의 갯수가 얼마인가?에 대해 알아보기 위해 필요한 경우의 수에 대해서 배워보자
곱의 법칙: 첫 번째 시행이 n1가지 방법, 두 번째 시행이 n2가지 방법이 있으면,
두 시행이 독립적으로 행해진다는 가정하에! 두 가지 시행이 이루어지는 것은 n1*n2가지 방법이 있다.
순열
원순열
같은 것이 있을때 순열
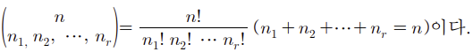
· 분할 : n개의 대상물을 r개의 부분으로 나누는 경우 첫 번째 부분에 n1개, 두 번째 부분에 n2개, ..., r번째 부분에 nr 개가 속하도록하는 분할 방법의 수

왜 이렇게 되는지 설명한다면
분할이란 전체 집합에서, 남는 것 없이, 겹치지 않게, 부분집합으로 그룹을 나누는 것을 뜻한다.
이때 그룹 안의 배열은 상관이 없다. 그림으로 표현하면 다음과 같다

주의할 점이 앞서 말했지만, 각 조각안에 예를들어 1번공이 앞에 있는지,
2번공이 뒤에있는지와 같은 배열에는 관심이 없다는 점이다.
배열하는 방법은, 조각들은 고정시키고, 공들을 배열해주면 된다.

공을 배열하는 경우의 수 n! 을 한다면,
자동으로 각 nk번째 부분에 nk개 속하는 조각에 n개의 공들이 들어가게 할 수 있지만
이때 , n!안에는 그룹안의 배열까지 들어있으므로, 이를 제외시키기 위해서
n1!, n2!, n3!,..., nk!로 나누어줘야한다. 따라서 식이 위와 같이 완성된다.
또 여기서 추가적으로 식을 이렇게 표현한다는 점도 기억하자

마찬가지로
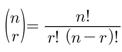
조합: 서로다른 n개중 순서를 고려하지 않고 r개를 선택하는 조합 역시 표기를 다음과 같이 한다.

'수리통계학1' 카테고리의 다른 글
| 6강. 전확률의 정리와 베이즈 정리 (0) | 2024.06.27 |
|---|---|
| 5강. 조건부 확률, 승법정리 (0) | 2024.06.27 |
| 4강. 사상의 확률, 가법정리 (0) | 2024.06.25 |
| 2강 자료의 요약, 도표를 이용한 자료의 정리 (0) | 2024.06.24 |
| 1강 통계학 개요,표본추출, 실험 (0) | 2024.06.24 |