조건부 분포
· 사상의 확률을 생각했을땐 조건부 확률을 떠올렸다.
· 그렇다면 확률변수, 확률분포가 주어졌을 때 조건부 확률은 어떻게 되는지 생각해보자
X , Y가 이산형 확률변수인 경우를 생각해보자
· A : X = x 인 사상, B : Y = y 인 사상
X 란 확률변수 안에 여러가지 x가 있을텐데 그중에 특정한 x가 X인 사상이 일어난다고 알려졌을때,
Y 란 확률변수 안에 여러가지 y가 있을텐데 그중에 특정한 y가 Y인 사상이 일어날 확률을 기호로 표현하면,
다음과 같고

해당 식을 다르게 생각했을땐, 밑의 그림처럼
P(Y = Y| X= x) 는 Y라는 확률변수를 생각하지 않을때의 X= x 가 일어날 확률를 분모로 하고
X= x 가 일어날 사상과 Y = y 가 일어날 사상이 동시에 일어날 확률을 분자로 한 값과 같다.

이때 P( X= x) 란 Y라는 확률변수를 생각하지 않을 때의 X= x 가 일어날 확률 (= X의 확률분포) 이고
결합분모가 있을때의 x만의 확률이라고도 다르게 표현할수 있다고 앞서 학습했다.
즉 주변분포 g(x)는 X의 확률분포 이므로 P( X= x) 를 g(x) 로 바꿀 수 있다.
(물론 X , Y가 이산확률변수 일때 가능하다 왜냐하면 이산확률변수의 확률은 함수'값'이니깐)
또한 X= x 가 일어날 사상과 Y = y 가 일어날 사상이 동시에 일어날 확률은 결합분포의 정의에 따라서
X 와 Y의 결합분포로 표현할수 있다.
즉 P(Y = Y, X= x)를 f( x, y) 로 바꿀 수있다.
(역시 X , Y가 이산확률변수 일때 가능하다 왜냐하면 이산확률변수의 확률은 함수'값'이니깐)
따라서 다음과 같이 표현할 수 있다.

· P(Y = Y| X= x) 에 관한 관찰
이 식을 조금 더 해석해보자면,
P(Y = Y| X= x) 란 X를 특정한 x값으로 고정한 상황에서(고정한 채로) Y를 움직였을때 (조건부)확률을 뜻한다.
밑에서 온도와 스펙트럼변화 예시에서 자세히 설명하겠지만
중요한 점은 X가 특정한 x로 (상수처럼) 고정되어있다는 사실과
고정된 채로 y를 움직여서 y의 움직임에 따른 확률 즉 조건하에서의 y의 확률을 관찰하는 것이
P(Y = Y| X= x) 가 가지는 의미이다.
(뒷부분에서 나중에 적분할때 잘 이해하기 위해선 해당 부분을 잘 이해해두기)
---
잠깐 현실적인 예를 들자면,
첫 블로그에서 CJ 합격 가능성 분석을 잠깐 한 적이 있었는데
이 경우, 평균이 531일때, 합격할 확률이 1/2보다 큰 확률 을 구하고 싶다면,
평균을 531점이라고 고정해 두고 ( X = x , x는 531)
평균이 531이라는 사실이 알려진 상황 하에서 과연 CJ 2차세션으로의 합격확률(= y)을 움직여서
합격확률이 1/2보다 클 확률(= y > 1/2) 을 구하는 것이므로
수식으로 표현하면 P( Y > 1/2 | X = 531) 을 구하면 된다.
(물론 정말 구할려고 하면 Y의 확률밀도함수, X의 확률밀도함수를 알아야 할 것이다.)
---
아무튼 X, Y가 이산확률변수라고 가정하고 최종적인 f( x, y) = g(x)로 나왔는데,
사실 X, Y가 연속확률변수 일때도 f(x , y)/ g(x)는 위의 성질을 만족한다.
(연속확률변수의 확률은 점이 아닌 구간에 관심이 있지만, 식 자체를 표현하는 건 문제가 없어서 그런것 같다)
그리고
f(x , y) / g(x) 은 특별히 f( x | y) 로 표시하고 이를 조건부 분포라고 한다.

이제 연속형 확률변수일때, 이산형 확률변수 가 주어진 상황에서
조건부 분포를 구하는 법을 예시를 통해 알아보자.
먼저 Y가 특정한 y로 고정되었다고 알려진 사실 하에서 X가 a이상 b 이하의 범위에 속할 확률은 다음과 같다.

- 이산형 확률변수의 경우 해당 조건부 분포를 구하는 방법은
Y를 y로 고정한 뒤 그 상황하에서, X가 주어진 범위 안에서의 값이 될 확률 + Y를 y로 고정한 뒤, X가 주어진 범위 안에서의 값이 될 확률 + Y를 y로 고정한 뒤, X가 주어진 범위 안에서의 값이 될 확률 +...를 경우 를 이산적으로 다 더하면된다.
- 연속형 확률변수의 경우 해당 조건부 분포를 구하는 방법은
Y =y로 고정한 뒤 그 상황하에서 X가 a부터 b까지 움직일때 확률을 연속적으로 더해주므로,
x에 대해서 f( x | y)란 함수를 a부터 b까지 적분한 값이 확률이다.
(y는 결정되어 있으므로 , x의 움직임에 대해서의 확률을 구하면 된다.)

※ 0< x < y < 1
확률밀도함수를 적분하여 확률을 구하는 경우, 확률변수의 범위를 고려하는 것이 중요하다.
앞서 0< x < 1/2 , 0< y < 1/4 와 같은 범위가 주어진 경우에는 x 와 y가 독립적으로 움직이므로
면적이 직사각형 모양을 띤다고 언급한 적이 있다.
(확률의 독립_ 종속 관계에서의 독립을 말하는게 아님!!, 진짜 따로따로 움직인다는 뜻)
반면 , 이번에는 범위가 0< x < y < 1 이렇게 주어졌다.
이를 그림으로 그리면, 다음과 같다.

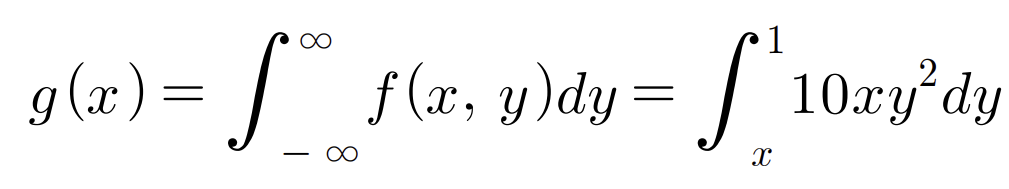
범위를 구했으니 g(x)를 구해보자.
g(x)는 정의에 따르면, 이렇게 표현할 수 있는데,

y의 유효범위가 다르기 때문에, 해당 식을 바꿔야한다
자세히 말해보자면,
지금 y는 위 아래로 움직이고 있다.

만일 무한대로 움직이고 -무한대로 움직인다고 하면,
y= 1 이상인 경우에는 함수값이 0으로 존재하고 y= x 이하인 경우에는 함수값이 0으로 존재하기때문에
x< y < 1 인 경우에만 f(x, y)의 함수값이 존재한다.
그렇기 때문에 전범위 y에 대하여 y를 움직여가면서 f(x, y)를 적분한 값은
x부터 1까지 범위의 y에 대하여 f(x, y)를 적분한 값과 같다.
따라서 식을 이렇게 바꿀 수 있다.

조금 더 이해를 하기 위해선 이변수함수의 적분에 대해서 알아볼 필요가 있다.
f(x,y)를 y에 대해서 적분했다는 뜻이 무엇일까? 에 대해서 잠깐 알아보자
우선 f(x, y)는
f(x, y) = z 라고 표현하였을 때,
x 축 , y축, z 축 이렇게 3차원으로 표현될 수 있다는 점을 알아두자.

그래서 f(x ,y)를 y에 대해서 적분했다는 뜻은
x값은 상수취급(고정시킨채로) 한채로 y를 움직여가며 y에 따른 f(x,y)의 높이를 연속적으로 더한값이므로
그림으로 표현하면, 이렇다

이번에는 f(x ,y)를 x에 대해서 적분해보자
y값은 상수취급(고정시킨채로) 한채로 x를 움직여가며 x에 따른 f(x,y)의 높이를 연속적으로 더한값이므로
그림으로 표현하면, 이렇다

그렇다면 f(x , y)를 이중적분해본다면 어떻게 될까? 바로 부피가 될 것이다.
앞서 , 이 그림을 보여줬는데
이 그림이 의미하는 바는 , z축을 기준으로 수직으로 x, y 평면을 바라본 그림이다.

그래서 0< x < y< 1 영역 외에는 f(x, y)가 정의되지 않는 영역에선 함수값이 0이 되고
영역안에선 f(x, y)의 함수값이 존재하기 때문에 g(x)를 x부터 1까지 y에 대하여 f(x,y)를 적분한 값으로 바꿀 수 있다.

이렇게 하면 g(x)를 구할 수 있다.
다음으로 h(y)를 구할 건데
h(y)의 정의에 따르면
가능한 모든 x에 대하여 f(x,y)를 적분한 값이므로 식으로 표현하면
(= x를 모두 고려했기때문에 x와는 상관이 없는 y의 확률분포를 의미(복습!))

이렇고 역시 x의 유효범위가 존재하기 때문에 그림으로 표현하면 ,

따라서 다음과 같이 h(y)를 표현할 수 있다.

g(x) , h(y), 그리고 주어진 f(x , y) 를 f(x | y) 정의에 집어넣으면 f(x |y)를 구할 수 있을 것이다.
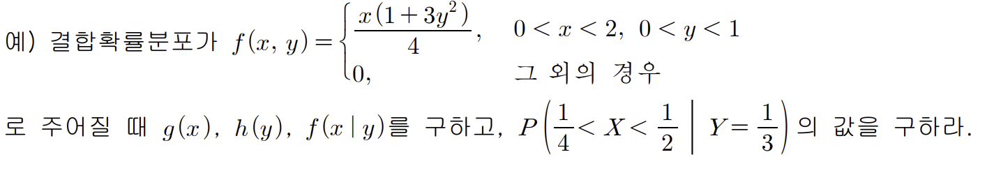
다음예제를 통해 통계적 독립에 대해서 잠깐 살펴보자

정의에 따라 차례대로 g(x), h(y) , f(x | y)를 구하면되는데
계산 과정에서 주목할 점이 f(x | y) 가 g(x)로 나왔다는 점이다.

즉 , 확률변수 y와는 상관없이( = y에 대한 영향을 받지 않음 = y에 대한 조건이 없어도)
f(x, y)의 값이 결정된다. 즉 f(x ,y) = g(x)가 된다.
이를 다른 말로 확률변수 X , Y가 서로 독립이다는 주장과 연결된다.
통계적 독립
조건부분포가 y와 상관없이 g(x)로 나왔다는 것은 y에 종속되지 않았다는 뜻이고
이를 통계적으로 독립되었다고 한다.

증명)

유도과정중에 f(x | y)가 밖으로나올 수 있는 이유
: f(x |y)가 y에 종속되어 있지 않다는 말은 y가 움직여도 (=△y) , f(x | y)에 영향을 끼치지 않는다는 뜻이므로,
f(x| y)는 y에 대해서 적분할 시 (dy) 상수취급할 수 있음
'수리통계학1' 카테고리의 다른 글
| 13강. 분산과 공분산 (0) | 2024.07.02 |
|---|---|
| 12강. 확률변수의 평균 (0) | 2024.07.01 |
| 8강 결합 확률분포 (0) | 2024.06.28 |
| 7강. 확률변수, 이산형 확률분포 , 연속형 확률분포 (0) | 2024.06.28 |
| 6강. 전확률의 정리와 베이즈 정리 (0) | 2024.06.27 |