분산의 정의

확률변수와 평균의 제곱을 X에 대한 식 g(x) 즉 종속확률변수의 평균을 분산으로 정의한다.
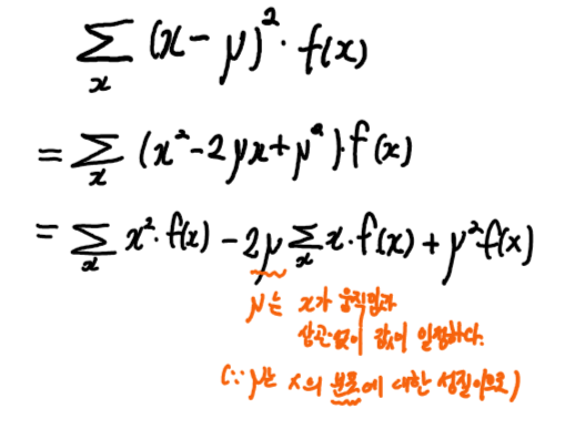
복습!) 앞서 종속확률변수의 기댓값(= E(g(x))을 구하는 식은
종속확률변수 * (X= x가 일어날 확률) 을 가능한 모든 x의 확률변수에 대하여 다 더한 값이라고 했다.

마찬가지로 분산은 확률변수와 평균의 제곱이라는 종속확률변수(= g(x)) 의 평균이므로,
종속확률변수에 대한 평균의 정의를 사용하면 위와 같다.
이산확률변수인가 연속확률변수인가 에 따라서
분산의 식이 살짝 다르지만 개념은 같다.

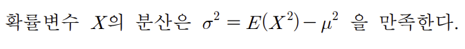
분산의 식을 조금더 쉽게 계산하는 방법을 알아보자.
(문제가 나왔다고 무턱대고 계산하지 말고 이 점을 꼭 염두해두자)

증명하는 방법은 그냥 분산의 식을 풀어보면 된다.
위의 식은 이산형확률변수이든 연속형확률변수이든 상관없이 성립하는 식인데,
어차피 증명할 때 방법은 같으니깐
이산형 확률변수라고 가정한 뒤 , 식을 증명해보자.


종속확률변수의 분산
이번에는 종속확률변수의 분산을 생각해보자

식 설명) g(x)도 x로 표현되었지만 엄면히 확률변수이다!
그래서 , X의 분산 식에 X 대신 g(x)를 넣으면 그 식이 종속확률변수의 분산 식이 된다.
공분산
이번에는 확률변수가 2개 있을 때의 공분산에 대해서 얘기해보자.
공분산의 식은 다음과 같이 정의한다.

왜 식이 저럴까? 조금 직관적으로 설명한다면,
원래 분산의 식은 확률변수 X와 평균의 편차의 제곱 이었다.
이번에는 확률변수 2개 의 공분산을 알고싶은거니깐.. (확률변수 - 평균) * (확률변수 - 평균) 이런 형태로
나타낼 수 있다.

(확률변수 X와 평균의 차이) 와 (확률변수 Y와 평균의 차이) 의 곱의 평균이 공분산이다.
풀어서 말하면,
(확률변수 X와 평균의 차이) 와 (확률변수 Y와 평균의 차이) 의 곱을
가능한 모든 x에 대해서 그리고 가능한 모든
y에 대해서 더한 합이 공분산이다.
분산과 마찬가지로
공분산을 쉽게 구하는 식이 있다.

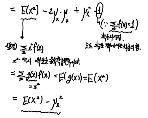
증명도 마찬가지로 ,
증명하는 방법이 이산형 확률변수이든 연속형 확률변수이든 동일하므로 ,
이산형 확률변수 일때에만 증명해보자.

식을 풀어보자.

그러면 최종식이 이렇게 나온다.

상관계수
다른 공분산과 비교하기 위해 표준화된 지표가 필요한데 그게 바로 상관계수이다.
상관계수의 식은 다음과 같다.

'수리통계학1' 카테고리의 다른 글
| 15강 체비셰프 정리 (0) | 2024.07.03 |
|---|---|
| 14강. 선형결합된 확률변수의 평균과 분산 (0) | 2024.07.02 |
| 12강. 확률변수의 평균 (0) | 2024.07.01 |
| 9강. 조건부 분포, 통계적 독립 , 여러 개의 확률변수 (0) | 2024.06.29 |
| 8강 결합 확률분포 (0) | 2024.06.28 |